Employment
Positions with hyperlinks will take you to a job description.
Applications and salary information for all roles are directly below the postings.
Send completed applications to Superintendent Tanner Burton at Tburton@higbeeschool.com. Call 660-456-2706 if you have any questions about any roles or how to apply.


Applications
2026-2027 Salary Schedules


2026-2027 Incentives


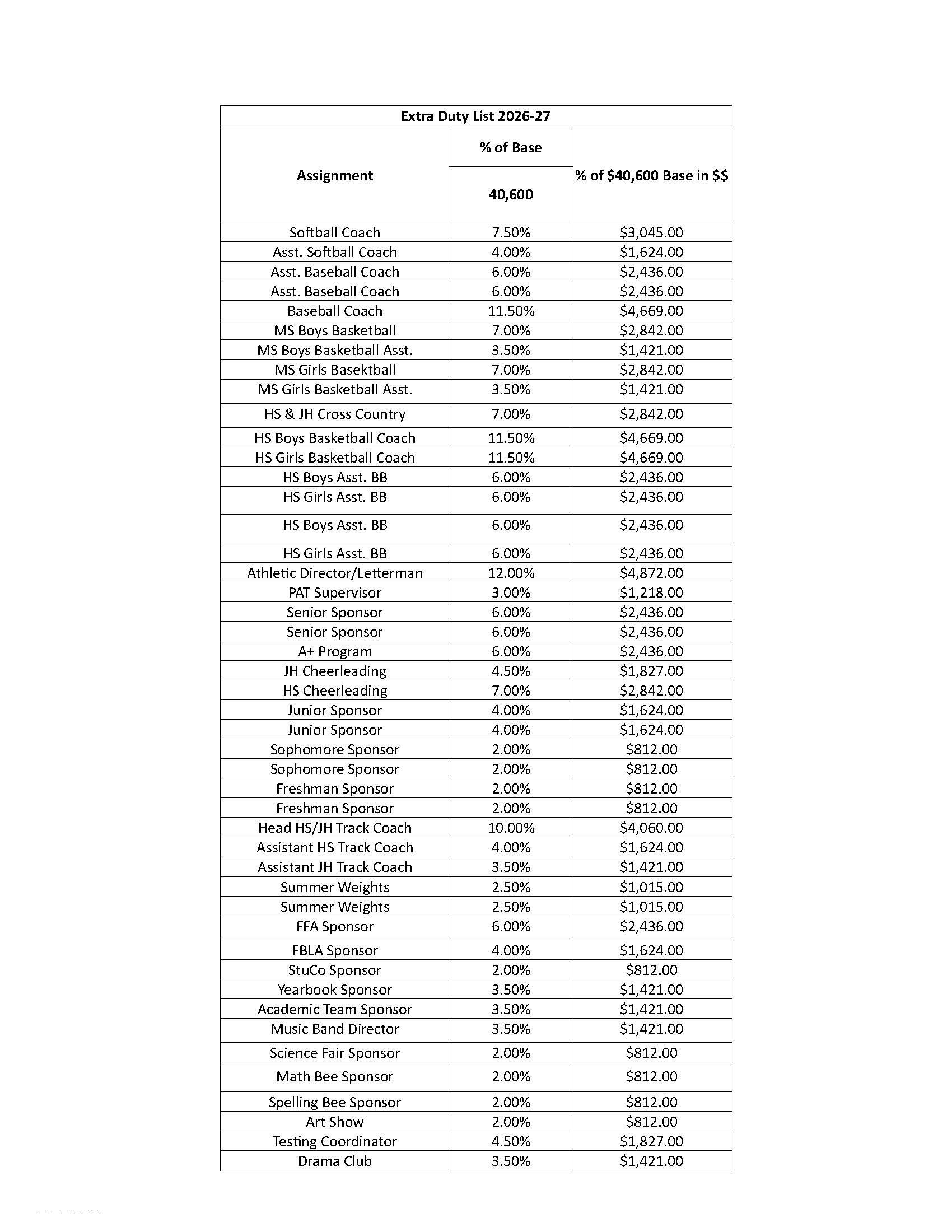
2026-2027 Additional Financial Opportunities


2025-2026 Salary Information
Higbee School is always accepting applications. We are looking for candidates who will prioritize the students' interests.
The Higbee R-VIII School District is an equal opportunity employer. It is the policy of the district not to discriminate on the basis of race, color, religion, sex, national origin, ancestry, disability, age, or any other characteristic protected by law.
Applications are available through links on this page.
Please complete applications online. If you have any problems contact Mrs. Mandy Niemeier, Principal Mniemeier@higbeeschool.com, 101 Evans St. Higbee, MO 65257, or call at (660) 456-7277
Benefits/Offerings
Medical Insurance: Cigna
The school contributes up to $550 a month
Dental/Vision Insurance: Ameritas
Mutual of Omaha
Aflac
If you require further assistance with finding information on the website, please contact us at 660-456-7206
